Santa Rosa: una tormenta entre el mito y la ciencia, ¿llegará este 2022?
Que a fines de agosto llueve es una creencia popular asentada en una fiesta religiosa, pero ¿qué tan real es esto? El Servicio Meteorológico Nacional lo explica
4 minutos de lectura'

La tradición suele vaticinar una lluvia para fines de agosto, un evento conocido como la tormenta de Santa Rosa. Esto se debe a que cada 30 de agosto se conmemora a Santa Rosa de Lima. De hecho, este fenómeno meteorológico lleva el mismo nombre incluso si cae en los días previos, algo que podría ocurrir este año.
En este punto, la ciencia se cruza con la religión, que destaca la historia de Santa Rosa de Lima: la primera mujer latinoamericana en ser canonizada. Según la creencia, protegió a su ciudad de un ataque naval de piratas holandeses cuando, tras rezar en la Iglesia Nuestra Señora del Rosario de Lima, se desató una tormenta que impidió el desembarco.
Las raíces de la creencia, entonces, están asentadas en la superstición, aunque cabe resaltar que también hay algunos factores climáticos que, en determinadas zonas del país, influyen en la formación de estas precipitaciones durante este momento del año.
En este sentido, el Servicio Meteorológico Nacional aclara que, si bien este fenómeno es usual en el centro y noreste del país, no lo es en otras zonas de la Argentina. “En regiones como la Patagonia no es común tener tormentas. Algo similar ocurre en Noroeste Argentino (NOA), donde la época está marcada por la estación seca, y predominan los días despejados y con mucho sol”.

En relación a esto, el organismo destaca que la tormenta de Santa Rosa podría llegar antes de la fiesta litúrgica, pero dentro de lo que prevé la tradición: durante la tarde de este jueves 25 podrían darse chaparrones; aunque la probabilidad es baja, del 40 por ciento. A este evento se le suma la posibilidad -también pequeña- de lluvias aisladas por la noche.
La tendencia parece ser que se profundice el fenómeno. De esta manera, la tarde y la noche del viernes tendrán precipitaciones de intensidad variable. Luego, al pasar el mediodía, podrían darse chaparrones en la ciudad de Buenos Aires y, por la noche, hay hasta un 70 por ciento de posibilidades de tormenta.
La inestabilidad se mantendrá entre la madrugada y la mañana del sábado, con tormentas aisladas según las previsiones del Servicio Meteorológico Nacional. Durante la tarde y la noche, en cambio, el firmamento estará parcialmente nublado aunque ya no caerá más agua.
Para muchos, esta será la tormenta de Santa Rosa. De todas formas, el Servicio Meteorológico Nacional destaca que, más allá de la tradición, hay estadísticas que permiten contrastar las percepciones con la realidad del fenómeno.
¿Santa Rosa existe? Las estadísticas del fenómeno
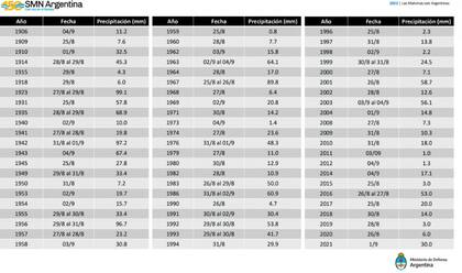
En un intento de realizar un análisis más exhaustivo de la predominancia de la tormenta de Santa Rosa entre fines de agosto y principios de septiembre, desde el SMN utilizaron los datos del Observatorio Central Buenos Aires (OCBA), cuya base de datos climáticos se remonta a 100 años. Desplegada esa información de 1906 a 2021, se constató cuántas veces había llovido y en qué cantidad durante un período determinado entre el 25 de agosto y el 4 de septiembre (es decir, cinco días antes y cinco después de Santa Rosa).

Una vez contabilizados estos 116 años, se encontró que en 65 oportunidades (56 por ciento de los casos) se produjeron tormentas en esas fechas.
De todas formas, desde el organismo estatal aseguran que no todas estas precipitaciones fueron intensas, o al menos no todas lo fueron tanto como la que pospuso la invasión pirata sobre Lima ante las oraciones de Santa Rosa.
Otras noticias de Santa Rosa
Ya se quemaron 83.000 hectáreas. Por el fuego en La Pampa denuncian la muerte de ganado y hay un temor latente
"El agua nos llegaba arriba de la cintura". Tormenta de Santa Rosa: videos de la “catástrofe” que dejó el intenso temporal en Santa Fe, Córdoba y Buenos Aires
"Son frecuentes". Tormenta de Santa Rosa: las 4 enfermedades graves que pueden surgir tras las inundaciones, según un especialista
1Tiene 22, es campeona argentina de oratoria y sueña con representar al país: “Del otro lado del miedo”
2El truco de la cebolla para sacar toda la grasa de la parrilla y dejarla lista para el próximo asado
3Primera Luna nueva del 2026: los tres rituales recomendados para darle la bienvenida
4El plan que la rompe en Playa Grande: música y bienestar frente al mar







